题目内容
由曲线y=x2+2与y=3x,x=0,x=1所围成的平面图形的面积为( )A.
B.1
C.
D.2
【答案】分析:因为所求区域均为曲边梯形,所以使用定积分方可求解,然后求出曲线y=x2+2与y=3x的交点坐标,然后利用定积分表示所围成的平面图形的面积,根据定积分的定义解之即可.
解答:解:联立
,解得x1=1,x2=2
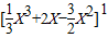
∴S=∫1(x2+2-3x)dx=
=
故选:A
点评:用定积分求面积时,要注意明确被积函数和积分区间,属于基本运算,基础题.
解答:解:联立
∴S=∫1(x2+2-3x)dx=
故选:A
点评:用定积分求面积时,要注意明确被积函数和积分区间,属于基本运算,基础题.
练习册系列答案
相关题目
由曲线y=x2+2与y=3x,x=0,x=1所围成的平面图形的面积为( )
A、
| ||
| B、1 | ||
C、
| ||
| D、2 |