题目内容

已知函数.

(1)若函数的图象在处的切线斜率为,求实数的值;

(2)在(1)的条件下,求函数的单调区间;

(3)若函数上是减函数,求实数的取值范围.

 

【答案】

(1);(2)函数的单调递减区间是;单调递增区间是;(3).

【解析】

试题分析:(Ⅰ)先求导数,再由函数的图象在x=2处的切线的斜率为1,令求解;(2)求出,然后列表求出的单调区间;(3)求出,由函数上的单调减函数,得出上恒成立,构造,判断上为减函数,从而求解。

试题解析:(1)                     1分

由已知,解得.                       3分

(2)函数的定义域为..         

变化时,的变化情况如下:

-

+

极小值

由上表可知,函数的单调递减区间是;单调递增区间是.   6分

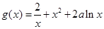
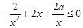
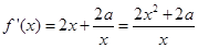
(3)由,         8分

由已知函数上的单调减函数,

上恒成立,即上恒成立.

上恒成立.                      10分

,在

所以上为减函数. ,所以.         14分

考点:利用导数研究函数的极值;函数的单调区间;函数恒成立问题;简单复合函数的导数.

 

练习册系列答案
相关题目

违法和不良信息举报电话:027-86699610 举报邮箱:58377363@163.com

精英家教网