题目内容

数列{an}满足a1=0,a2=2,n+2=(1+cos2)an+4sin2,n=1,2,3,….

(Ⅰ)求a3,a4,并求数列{an}的通项公式;

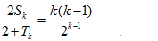
(Ⅱ)设Sk=a1+a3+…+a2k-1,Tk=a2+a4+…+a2k,Wk=

求使Wk>1的所有k的值,并说明理由.

解   (Ⅰ)因为a1=0,a2=2,所以a3=(1+cos2)a1+4sin2=a1+4=4,

a4=(1+cos2π)a2+4sin2π=2a2=4.

一般地,当n=2k-1(kN*)时,a2k+1=[1+cos2]a2k-1+4sin2=a2k-1+4,即a2k+1-a2k-1=4.

所以数列{a2k-1}是首项为0、公差为4的等差数列,因此a2k-1=4(k-1).

n=2k(kN*)时,a2k+2=(1+cos2)a2k+4sin=2a2k.

所以数列{a2k }是首项为2、公比为2的等比数列,因此a2k=2k.

故数列{an}的通项公式为an=

(Ⅱ)由(Ⅰ)知,Sk=a1+a3+…+a2k-1=0+4+…+4(k-1)=2k(k-1),

Tk=a2+a4+…+a2k=2+22+…+2k=2k+1-2,Wk=

于是W1=0,W2=1,W3=,W4=,W5=,W6=.

下面证明:当k≥6时,Wk<1.

事实上,当k≥6时,Wk+1-Wk=Wk+1Wk,又W0<1,所以当k≥6时,Wk<1.

故满足Wk>1的所有k的值为3,4,5.

练习册系列答案
相关题目

违法和不良信息举报电话:027-86699610 举报邮箱:58377363@163.com

精英家教网