题目内容

设等差数列{an}的前n项和为Sn,且S4=4S2,a2n=2an+1.

(Ⅰ)求数列{an}的通项公式;

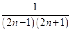
(Ⅱ)证明:对一切正整数n,有+…+

 

【答案】

(Ⅰ);(Ⅱ)详见解析

【解析】

试题分析:(Ⅰ)利用等差数列的通项公式和前项和公式来求;(Ⅱ)裂项求和.

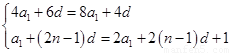
试题解析:(Ⅰ)设等差数列{an}的公差为d,则

,解得

∴an=2n-1,n∈N*.                       6分

(Ⅱ)∵ (),

+ +

 [(1-)+()+ +()]

 (1-)<.                        12分

考点:等差数列的通项公式和前项和公式,裂项求和.

 

练习册系列答案
相关题目

违法和不良信息举报电话:027-86699610 举报邮箱:58377363@163.com

精英家教网