题目内容

已知向量

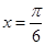
(1)若,求向量的夹角;

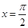
(2)当时,求函数的最大值.

 

【答案】

(1)向量的夹角为;(2)函数在区间的最大值为.

【解析】

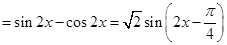
试题分析:(1)将代入向量的坐标,再利用向量的数量积计算)向量的夹角;(2)先根据向量的数量积求出函数的解析式,并化简为,计算在区间的取值范围,然后结合正弦曲线确定函数的最大值.

试题解析:(1)当时,

,所以的夹角为

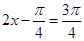
(2)

,即.时,.

考点:1.平面向量的数量积;2.二倍角公式;3.辅助角公式;4.三角函数的最值

 

练习册系列答案
相关题目

违法和不良信息举报电话:027-86699610 举报邮箱:58377363@163.com

精英家教网