题目内容
已知数列{an}的首项为1,对任意的n∈N*,定义bn=an+1-an,
(1)若bn=n+1,求a4;
(2)若bn+1bn-1=bn(n≥2),且b1=a,b2=b(ab≠0),
①当a=1,b=2时,求数列{bn}的前3n项和;
②当a=1时,求证:数列{an}中任意一项的值均不会在该数列中出现无数次。
(1)若bn=n+1,求a4;
(2)若bn+1bn-1=bn(n≥2),且b1=a,b2=b(ab≠0),
①当a=1,b=2时,求数列{bn}的前3n项和;
②当a=1时,求证:数列{an}中任意一项的值均不会在该数列中出现无数次。
解:(1)
6,
;
(2)①因为
,
所以,对任意的n∈N*有
,
即数列{bn}各项的值重复出现,周期为6.
数列{bn}的前6项分别为
,且这六个数的和为7.
设数列{bn}的前n项和为Sn,
则当n=2k(k∈N*)时,
;
当n=2k+1(k∈N*)时,


,
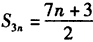
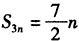
所以,当n为偶数时,
;当n为奇数时,
;
②由①知:对任意的n∈N*有
,
又数列{bn}的前6项分别为
,且这六个数的和为
;
设
(其中i为常数且i∈{1,2,3,4,5,6}),
所以


,
所以,数列
均为以
为公差的等差数列,
因为b>0时,
;b<0 时,
,
所以
是公差不为零的等差数列,其中任何一项的值最多在该数列中出现一次,
所以数列{an}中任意一项的值最多在此数列中出现6次,
即任意一项的值不会在此数列中重复出现无数次.
(2)①因为
所以,对任意的n∈N*有
即数列{bn}各项的值重复出现,周期为6.
数列{bn}的前6项分别为
设数列{bn}的前n项和为Sn,
则当n=2k(k∈N*)时,
当n=2k+1(k∈N*)时,
所以,当n为偶数时,
②由①知:对任意的n∈N*有
又数列{bn}的前6项分别为
设
所以
所以,数列
因为b>0时,
所以
所以数列{an}中任意一项的值最多在此数列中出现6次,
即任意一项的值不会在此数列中重复出现无数次.
练习册系列答案
相关题目