题目内容
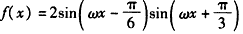
已知函数f(x)=2sin(ωx-
)·sin(ωx+
)(ω为正数,x∈R),最小正周期为π。
(1)求ω的值;
(2)在△ABC中,若A<B,且f(A)=f(B)=
,求
。
(1)求ω的值;
(2)在△ABC中,若A<B,且f(A)=f(B)=
解:(1)



而f(x)的最小正周期为π,ω为正数
∴
解得ω=1。
(2)由(1)得
若x是三角形的内角,则
∴
令
得
∴
或
解得
或
由已知A、B是△ABC的内角,A<B,且

∴
∴
又由正弦定理,得
。
而f(x)的最小正周期为π,ω为正数
∴
解得ω=1。
(2)由(1)得
若x是三角形的内角,则
∴
令
得
∴
解得
由已知A、B是△ABC的内角,A<B,且
∴
∴
又由正弦定理,得
练习册系列答案
相关题目