题目内容
若等比数列
的前项n和为
,且
,则
.
【答案】
17
【解析】
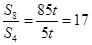
试题分析:设
,则
,
,
,![]()
∴
,
,
,
,∴
.
考点:1.等比数列的性质.
练习册系列答案
相关题目
题目内容
若等比数列
的前项n和为
,且
,则
.
17
【解析】
试题分析:设
,则
,
,
,![]()
∴
,
,
,
,∴
.
考点:1.等比数列的性质.