搜索
题目内容
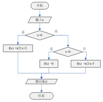
设计算法流程图,要求输入自变量
的值,输出函数
的值
试题答案
相关练习册答案
解析
练习册系列答案
必做题1000例考前冲刺必备中考系列答案
天勤文化寒假攻略光明日报出版社系列答案
寒假作业大众文艺出版社系列答案
浩鼎文化复习王学期总动员系列答案
君杰文化假期课堂寒假作业系列答案
寒假学习与生活济南出版社系列答案
欢乐寒假福建教育出版社系列答案
智多星寒假生活新疆美术摄影出版社系列答案
寒假天地河北教育出版社系列答案
智乐文化中考备战系列答案
相关题目
设计算法流程图,要求输入自变量x的值,输出函数
f(x)=
π
2
x-5,x>0
0,x=0
π
2
x+3,x<0
的值,并用复合if语句描述算法.
设计算法流程图,要求输入自变量x的值,输出函数
f(x)=
π
2
x-5,x>0
0,x=0
π
2
x+3,x<0
的值,并用条件语句描述算法.
设计算法流程图,要求输入自变量x的值,输出函数f(x)=
π
2
x-5, x>0
0, x=0
π
2
x+3, x<0
的值.
设计算法流程图,要求输入自变量
的值,输出函数
的值
设计算法流程图,要求输入自变量
的值,输出函数
的值,并用复合if语句描述算法。
关 闭
试题分类
高中
数学
英语
物理
化学
生物
地理
初中
数学
英语
物理
化学
生物
地理
小学
数学
英语
其他
阅读理解答案
已回答习题
未回答习题
题目汇总
试卷汇总
练习册解析答案