题目内容

设函数.

(Ⅰ) 若函数上为增函数, 求实数的取值范围;

(Ⅱ) 求证:当时,.

 

【答案】

(Ⅰ)  ;(Ⅱ)参考解析

【解析】

试题分析:(Ⅰ)首先考虑函数的定义域.通过对函数求导可得 函数的单调区间.因为要求函数上为增函数,所以可得结论.本小题的是含参数的函数问题.

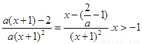
(Ⅱ)由于可得函数上为增函数.又因为f(1)=0.所以.通过对x,n的值的赋值即..则.即可得结论.最后的构造是本题的关键.要根据所要证得结论结合数列的思想.

试题解析:

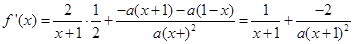
=.所以在上为减函数.在上为增函数.所以在处取得极小值.

 (Ⅰ)依题意.

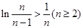
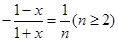
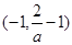
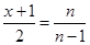
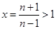
(Ⅱ)由(Ⅰ)知.当时. 上为增函数.当x>1时有f(x)>f(1)=0.即.取.则.即有.所以.

考点:1.含参数的函数问题.2.函数的单调性问题.3.函数、不等式、数列相结合的题型.

 

练习册系列答案
相关题目

违法和不良信息举报电话:027-86699610 举报邮箱:58377363@163.com

精英家教网