题目内容
已知函数f(x)=|lg(x-1)|若a≠b,f(a)=f(b),则a+2b的取值范围是 .
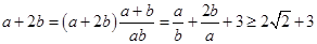
【答案】
![]()
【解析】
试题分析:由
得,
且
,由对数函数的特征得,
所以
,
故
.
考点:对数函数性质、基本不等式.
练习册系列答案
相关题目
|
A、(
| ||||
B、(
| ||||
C、(
| ||||
D、[
|
题目内容
已知函数f(x)=|lg(x-1)|若a≠b,f(a)=f(b),则a+2b的取值范围是 .
![]()
【解析】
试题分析:由
得,
且
,由对数函数的特征得,
所以
,
故
.
考点:对数函数性质、基本不等式.
|
A、(
| ||||
B、(
| ||||
C、(
| ||||
D、[
|