ÌâÄ¿ÄÚÈÝ

2013Äê12ÔÂ21ÈÕÉÏÎç10ʱ£¬Ê¡»áÊ×´ÎÆô¶¯ÖØÎÛȾÌìÆø¢ò¼¶Ó¦¼±ÏìÓ¦£¬Õýʽʵʩ»ú³µÎ²ºÅÏÞÐУ¬µ±Ììij±¨ÉçΪÁ˽⹫ÖÚ¶Ô¡°³µÁ¾ÏÞÐС±µÄ̬¶È£¬Ëæ»ú³é²éÁË50ÈË£¬½«µ÷²éÇé¿ö½øÐÐÕûÀíºóÖÆ³ÉÏÂ±í£º

£¨1£©Íê³É±»µ÷²éÈËÔ±µÄƵÂÊ·Ö²¼Ö±·½Í¼£»

£¨2£©Èô´ÓÄêÁäÔÚ£¬µÄ±»µ÷²éÕßÖи÷Ëæ»úѡȡÁ½È˽øÐÐ×·×Ùµ÷²é£¬¼ÇÑ¡ÖеÄ4ÈËÖв»Ô޳ɡ°³µÁ¾ÏÞÐС±µÄÈËÊýΪ£¬ÇóËæ»ú±äÁ¿µÄ·Ö²¼ÁкÍÊýѧÆÚÍû.

 

¡¾´ð°¸¡¿

£¨1£©ÆµÂÊ·Ö²¼Ö±·½Í¼Ïê¼û½âÎö£»£¨2£©·Ö²¼ÁÐÏê¼û½âÎö£¬.

¡¾½âÎö¡¿

ÊÔÌâ·ÖÎö£º±¾ÌâÖ÷Òª¿¼²éƵÂÊ·Ö²¼Ö±·½Í¼ºÍËæ»ú±äÁ¿µÄ·Ö²¼ÁкÍÊýѧÆÚÍûµÈ»ù´¡ÖªÊ¶£¬¿¼²éѧÉú·ÖÎöÎÊÌâ½â¾öÎÊÌâµÄÄÜÁ¦¡¢»­Í¼µÄÄÜÁ¦ºÍ¼ÆËãÄÜÁ¦.µÚÒ»ÎÊ£¬ÀûÓá°¡±¼ÆËãÿһ×éµÄƵÂÊ£¬ÔÙÀûÓá°¡±¼ÆËãÿһ×éµÄ×Ý×ø±ê£¬´Ó¶ø»­³öƵÂÊ·Ö²¼Ö±·½Í¼£»µÚ¶þÎÊ£¬ÏÈͨ¹ý¶ÔÌâÒâµÄ·ÖÎö£¬µÃ³öËæ»ú±äÁ¿µÄËùÓпÉÄÜȡֵ£¬ÔÙ¶ÔÿһÖÖÇé¿öÇó¸ÅÂÊ£¬Áгö·Ö²¼ÁУ¬ÀûÓÃÇóÊýѧÆÚÍû.

ÊÔÌâ½âÎö£º£¨¢ñ£©¸÷×éµÄƵÂÊ·Ö±ðÊÇ     2·Ö

ËùÒÔͼÖи÷×éµÄ×Ý×ø±ê·Ö±ðÊÇ     4·Ö

     5·Ö

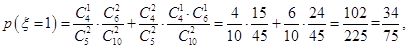
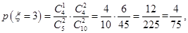
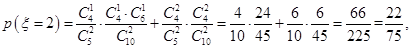
£¨¢ò£©µÄËùÓпÉÄÜȡֵΪ£º0,1,2,3          6·Ö

     10·Ö

ËùÒԵķֲ¼ÁÐÊÇ£º

                                                                    11·Ö

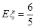
ËùÒÔµÄÊýѧÆÚÍû       12·Ö

¿¼µã£º1.ƵÂÊ·Ö²¼Ö±·½Í¼£»2.Ëæ»ú±äÁ¿µÄ·Ö²¼ÁкÍÊýѧÆÚÍû.

 

Á·Ï°²áϵÁдð°¸
Ïà¹ØÌâÄ¿

Î¥·¨ºÍ²»Á¼ÐÅÏ¢¾Ù±¨µç»°£º027-86699610 ¾Ù±¨ÓÊÏ䣺58377363@163.com

¾«Ó¢¼Ò½ÌÍø