题目内容

函数与函数的图像所有交点的橫坐标之和为        

 

【答案】

17

【解析】

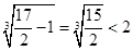
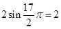
试题分析:分析函数的图象可知,函数的图像与轴交于点,且它的图象关于点成中心对称,函数是周期为2的函数,最大值为2,且也关于点对称(点是它们的唯一一个在轴上的交点),下面我们分析在时,它们有几个交点,由于,故两个函数图象在区间内有两个交点,当然在区间上也分别有两个交点,即在时,两函数图象有8个交点,根据对称性,在时,也有8个交点,而且关于点对称的两个交点横坐标之和为2,16个交点横坐标之和就是16,所有交点横坐标之和为17.

考点:函数的周期性,最值,函数图象的对称性.

 

练习册系列答案
相关题目

违法和不良信息举报电话:027-86699610 举报邮箱:58377363@163.com

精英家教网