题目内容
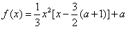
已知函数
,其导函数的图象过原点。
(1)当a=1时,求函数的图象在x=3处的切线方程;
(2)当a>0时,确定函数f(x)的零点个数。
(1)当a=1时,求函数的图象在x=3处的切线方程;
(2)当a>0时,确定函数f(x)的零点个数。
解:(1)因为
由已知
则
所以
当
时,
,
则
,
故函数f(x)的图象在
处的切线方程为
即
。
(2)当
时,
的变化情况如下表:

因为f(x)的极大值
f(x)的极小值
因为
则
又
所以函数f(x)在区间
内各有一个零点
故函数f(x)共有三个零点。
由已知
则
所以
当
则
故函数f(x)的图象在
即
(2)当
因为f(x)的极大值
f(x)的极小值
因为
则
又
所以函数f(x)在区间
故函数f(x)共有三个零点。
练习册系列答案
相关题目