搜索
题目内容
已知
,α∈(0,π),
(Ⅰ)求
的值;
(Ⅱ)求cos(2α-
)的值。
试题答案
相关练习册答案
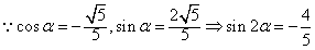
解:(Ⅰ)
,
,
,
;
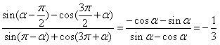
(Ⅱ)
,
,
。
练习册系列答案
课时单元夺冠卷金题1加1系列答案
好课堂堂练系列答案
基本功训练系列答案
我能考第一金牌一课一练系列答案
新课标同步单元练习系列答案
满分王周周检测系列答案
同步精练广东系列答案
全程导练提优训练系列答案
手拉手全优练考卷系列答案
第一好卷冲刺100分系列答案
相关题目
已知定义在(0,+∞)上的函数f(x),对一切x、y>0,恒有f(x+y)=f(x)+f(y)成立,且x>0时,f(x)<0.
(1)求证:f(x)在(0,+∞)上是减函数.
(2)
f(2)=-
1
2
时,解不等式f(ax+4)>-1.
已知集合A={x|0≤x≤4},集合B={y|0≤y≤2},从A到B的对应法则f分别为:
①f:x→
1
2
x ②f:x→x-2 ③f:x→
x
④f:x→|x-2|
其中构成映射关系的对应法则是
(将所有答案的序号均填在横线上).
已知点A(0,b),B为椭圆
x
2
a
2
+
y
2
b
2
=1(a>b>0)
的左准线与x轴的交点.若线段AB的中点C在椭圆上,则该椭圆的离心率为
.
(2007广州市水平测试)已知
cosθ=
3
5
, θ∈(0,
π
2
)
,求sinθ及
sin(θ+
π
4
)
的值.
已知集合A={x|0≤x≤4},则下列对应关系中不能构成定义域和值域都是A的函数的是( )
A、y=4-x
B、y=
4
9
(x-1)
2
C、y=|x|
D、y=
1
2
(x-4)
2
关 闭
试题分类
高中
数学
英语
物理
化学
生物
地理
初中
数学
英语
物理
化学
生物
地理
小学
数学
英语
其他
阅读理解答案
已回答习题
未回答习题
题目汇总
试卷汇总
练习册解析答案