题目内容
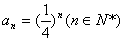
已知数列
是首项为
,公比
的等比数列,设
,数列
满足
。
(Ⅰ)求
的通项公式;
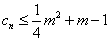
(Ⅱ)若
对一切正整数n恒成立,求实数m的取值范围。
(Ⅰ)求
(Ⅱ)若
解:(Ⅰ)由题意,知
,
易得
。
(Ⅱ)
,
∴
,
∴当n=1时,
,
当n≥2时,
,即
,
∴当n=1时,
取最大值
,
又
对一切正整数n恒成立,
∴
,即
,
解得:m≥1或m≤-5。
易得
(Ⅱ)
∴
∴当n=1时,
当n≥2时,
∴当n=1时,
又
∴
解得:m≥1或m≤-5。
练习册系列答案
相关题目