题目内容
已知f(x)=xlnx,g(x)=x3+ax2-x+2(I)求函数f(x)的单调区间;
(Ⅱ)求函数f(x)在[t,t+2](t>0)上的最小值;
(Ⅲ)对一切的x∈(0,+∞),2f(x)≤g′(x)+2恒成立,求实数a的取值范围.
【答案】分析:(I)求出f′(x),令f′(x)小于0求出x的范围即为函数的减区间,令f′(x)大于0求出x的范围即为函数的增区间;(Ⅱ)当
时t无解,当
即
时,根据函数的增减性得到f(x)的最小值为f(
),当
即
时,函数为增函数,得到f(x)的最小值为f(t);
(Ⅲ)求出g′(x),把f(x)和g′(x)代入2f(x)≤g′(x)+2中,根据x大于0解出
,然后令h(x)=
,求出h(x)的最大值,a大于等于h(x)的最大值,方法是先求出h′(x)=0时x的值,利用函数的定义域和x的值分区间讨论导函数的正负得到函数的单调区间,根据函数的增减性即可得到函数的最大值,即可求出a的取值范围.
解答:解:(Ⅰ)f′(x)=lnx+1令f′(x)<0解得
∴f(x)的单调递减区间为
令f′(x)>0解得
∴f(x)的单调递增区间为
;
(Ⅱ)当
时,t无解
当
,即
时,
∴
;
当
,即
时,f(x)在[t,t+2]上单调递增,
∴f(x)min=f(t)=tlnt
∴
;
(Ⅲ)由题意:2xlnx≤3x2+2ax-1+2即2xlnx≤3x2+2ax+1
∵x∈(0,+∞)
∴
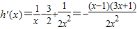
设
,则
令h′(x)=0,得
(舍)
当0<x<1时,h′(x)>0;当x>1时,h′(x)<0
∴当x=1时,h(x)取得最大值,h(x)max=-2
∴a≥-2
故实数a的取值范围[-2,+∞)
点评:本题要求学生会利用导函数的正负得到函数的额单调区间以及会根据函数的增减性得到函数的极值,掌握不等式恒成立时所满足的条件,是一道中档题.
(Ⅲ)求出g′(x),把f(x)和g′(x)代入2f(x)≤g′(x)+2中,根据x大于0解出
解答:解:(Ⅰ)f′(x)=lnx+1令f′(x)<0解得
∴f(x)的单调递减区间为
令f′(x)>0解得
∴f(x)的单调递增区间为
(Ⅱ)当
当
∴
当
∴f(x)min=f(t)=tlnt
∴
(Ⅲ)由题意:2xlnx≤3x2+2ax-1+2即2xlnx≤3x2+2ax+1
∵x∈(0,+∞)
∴
设
令h′(x)=0,得
当0<x<1时,h′(x)>0;当x>1时,h′(x)<0
∴当x=1时,h(x)取得最大值,h(x)max=-2
∴a≥-2
故实数a的取值范围[-2,+∞)
点评:本题要求学生会利用导函数的正负得到函数的额单调区间以及会根据函数的增减性得到函数的极值,掌握不等式恒成立时所满足的条件,是一道中档题.
练习册系列答案
相关题目