题目内容
已知数列{an}的首项
,
.
(1)求证:数列
为等比数列;
(2)记
,若Sn<100,求最大的正整数n.
(3)是否存在互不相等的正整数m,s,n,使m,s,n成等差数列且am﹣1,as﹣1,an﹣1成等比数列,如果存在,请给出证明;如果不存在,请说明理由.
(1)求证:数列
(2)记
(3)是否存在互不相等的正整数m,s,n,使m,s,n成等差数列且am﹣1,as﹣1,an﹣1成等比数列,如果存在,请给出证明;如果不存在,请说明理由.
解:(1)∵
,
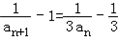
∴
,
∵
,
∴
,
∴
,
∴数列
为等比数列.
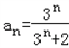
(2)由(1)可求得
,
∴
.
=
,
若Sn<100,则
,
∴nmax=99.
(3)假设存在,则m+n=2s,(am﹣1)●(an﹣1)=(as﹣1)2,
∵
,
∴
.
化简得:3m+3n=2●3s,
∵
,当且仅当m=n时等号成立.
又m,n,s互不相等,
∴不存在.
∴
∵
∴
∴
∴数列
(2)由(1)可求得
∴
若Sn<100,则
∴nmax=99.
(3)假设存在,则m+n=2s,(am﹣1)●(an﹣1)=(as﹣1)2,
∵
∴
化简得:3m+3n=2●3s,
∵
又m,n,s互不相等,
∴不存在.
练习册系列答案
相关题目