题目内容
设数列{an} 的前n项和为Sn,满足2Sn=an+1﹣2n+1+1,n∈N*,且a1,a2+5,a3成等差数列.
(1)求a1,a2,a3的值;
(2)求证:数列{an+2n}是等比数列;
(3)证明:对一切正整数n,有
+
+…+
<
.
【答案】
(1)
,
,
;(2)详见解析;(3)详见解析.
【解析】
试题分析:(1)由
,
,
成等差数列可得一等式:
.为了求出
,
,
,需再列两个方程.在题设
中,令
,
,便又得两个方程,这样解方程组即可.
(2)要证
为等比数列,需证
是一个常数.为此,需找到
与
.题设中是
这样一个关系式,显然应消去
只留
,这就要用
.
将
中的
换成
得
,两式相减得:
,所以
.注意这里的
大于等于2,所以还需要考虑
的情况.
(3)涉及数列的和的不等式的证明,一般有以下两种方法,一是先求和后放缩,二是先放缩后求和.
在本题中,应首先求出通项公式.由(2)可得
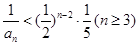
.对这样一个数列显然不可能先求和,那么就先放缩.因为
,所以
,然后采用迭乘或迭代的方法,便可得
,右边是一个等比数列,便可以求和了.
试题解析:(1)因为
,
,
成等差数列,所以
……………………①
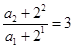
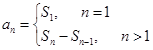
当
时,
,………………………………………………………②
当
时,
,………………………………………………③
所以联立①②③解得,
,
,
.
(2)由
,得
,
两式相减得
,所以
.
因为
,所以
是首项为3,公比为3的等比数列.
(3)由(2)得,
,即
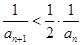
.因为
,
所以
,
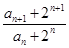
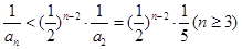
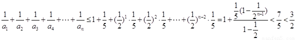
所以当n≥2时,
,
,
,…….,
,两边同时相乘得:
.
所以
.
考点:1、递推数列;2、不等式的证明.
练习册系列答案
相关题目