题目内容

,函数.

(Ⅰ)求的值;

(Ⅱ)求函数的单调区间.

 

【答案】

(Ⅰ);(Ⅱ)详见解析.

【解析】

试题分析:(Ⅰ)本小题首先需要对原函数求导得,然后代入

(Ⅱ)本小题首先令,得,然后分析二根之间的关系,需要分类讨论,按进行.

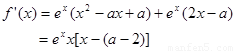
试题解析:(Ⅰ)

 .                                            3分

(Ⅱ)令,得                          4分

函数定义域为R,且对任意R,

,即时,

的单调递增区间是.           6分

,即时,

0

+

0

-

0

+

 

 

所以 的单调递增区间是,单调递减区间是.     9分

,即时,

0

+

0

-

0

+

 

 

所以 的单调递增区间是,单调递减区间是.     12分

综上,时,的单调递增区间是.  

时,的单调递增区间是

单调递减区间是.

时,的单调递增区间是

单调递减区间是.                     13分

考点:1.导数分析原函数的单调性;2.分类讨论.

 

练习册系列答案
相关题目

违法和不良信息举报电话:027-86699610 举报邮箱:58377363@163.com

精英家教网