题目内容
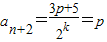
已知数列{an}的各项均为正整数,对于n=1,2,3,…,有
【答案】分析:由题设分别求出a1,a2,a3,a4,a5,a6,a7,a8,a9,仔细观察能够发现{an}从第3项开始是周期为6的周期数列,故a100=a3+(6×16+1)=a4;由若存在m∈N*,当n>m且an为奇数时,an恒为常数p,知an=p,an+1=3p+5,
,再由数列{an}的各项均为正整数,能求出p.
解答:解:由题设知,a1=11,
a2=3×11+5=38,
,
a4=3×19+5=62,
,
a6=3×31+5=98,
,
a8=3×49+5=152,
,
∴{an}从第3项开始是周期为6的周期数列,
∴a100=a3+(6×16+1)=a4=62.
若存在m∈N*,当n>m且an为奇数时,an恒为常数p,
则an=p,an+1=3p+5,
,
∴(3-2k)p=-5,
∵数列{an}的各项均为正整数,
∴当k=2时,p=5,
当k=3时,p=1.
故答案为:62,1或5.
点评:本题考查数列的递推公式的性质和应用,解题时分别求出a1,a2,a3,a4,a5,a6,a7,a8,a9,仔细观察能够发现{an}从第3项开始是周期为6的周期数列,借助数列的周期性进行求解.
解答:解:由题设知,a1=11,
a2=3×11+5=38,
a4=3×19+5=62,
a6=3×31+5=98,
a8=3×49+5=152,
∴{an}从第3项开始是周期为6的周期数列,
∴a100=a3+(6×16+1)=a4=62.
若存在m∈N*,当n>m且an为奇数时,an恒为常数p,
则an=p,an+1=3p+5,
∴(3-2k)p=-5,
∵数列{an}的各项均为正整数,
∴当k=2时,p=5,
当k=3时,p=1.
故答案为:62,1或5.
点评:本题考查数列的递推公式的性质和应用,解题时分别求出a1,a2,a3,a4,a5,a6,a7,a8,a9,仔细观察能够发现{an}从第3项开始是周期为6的周期数列,借助数列的周期性进行求解.
练习册系列答案
相关题目