题目内容
已知数列{an}满足a1=1,an=
an-1+1(n≥2),
(1)若bn=an-2,求证{bn}为等比数列;
(2)求{an}的通项公式.
(1)若bn=an-2,求证{bn}为等比数列;
(2)求{an}的通项公式.
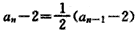
解:(1)由
,得
,
即
,
故{bn}是以-1为首项,公比为
的等比数列。
(2)
,即
,
故
。
即
故{bn}是以-1为首项,公比为
(2)
故
练习册系列答案
相关题目
题目内容