题目内容

 一动圆与圆外切,与圆内切.

(1)求动圆圆心的轨迹的方程;

(2)设过圆心的直线与轨迹相交于两点,请问为圆的圆心)的面积是否存在最大值?若存在,求出这个最大值及直线的方程,若不存在,请说明理由.

.解:(1)设动圆圆心为,半径为

由题意,得.     …………3分

由椭圆定义知在以为焦点的椭圆上,且

动圆圆心M的轨迹的方程为.……6分

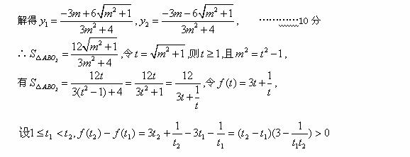
(2) 设(),

,  ……8分

,得,

  上单调递增,有,,

此时, ∴存在直线,的面积最大值为3.      …………14分

练习册系列答案
相关题目

违法和不良信息举报电话:027-86699610 举报邮箱:58377363@163.com

精英家教网