题目内容
已知椭圆(Ⅰ)求椭圆C的方程;
(Ⅱ)设直线l:y=x+t(t>0)与椭圆C交于A,B两点.若原点O在以线段AB为直径的圆内,求实数t的取值范围.
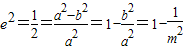
【答案】分析:(Ⅰ)依题意,可知m>1,且
,由此可m2=2,从而可得椭圆C的方程;
(Ⅱ)设A(x1,y1),B(x2,y2),则原点O在以线段AB为直径的圆内,等价于x1x2+y1y2<0,将直线与椭圆方程联立,利用韦达定理,可建立不等式,从而可求实数t的取值范围.
解答:解:(Ⅰ)依题意,可知m>1,且
,所以
,所以m2=2,即椭圆C的方程为
.…(5分)
(Ⅱ)设A(x1,y1),B(x2,y2),则原点O在以线段AB为直径的圆内,等价于
(A,O,B三点不共线),也就等价于
,即x1x2+y1y2<0…①…(7分)
联立
,得3x2+4tx+2(t2-1)=0,所以△=16t2-24(t2-1)>0,即0<t2<3…②
且
…(10分)
于是
代入①式得,
,即
适合②式…(12分)
又t>0,所以解得
即求.…(13分)
点评:本题考查椭圆的标准方程,考查向量知识的运用,考查韦达定理,解题的关键是联立方程,运用韦达定理解题.
(Ⅱ)设A(x1,y1),B(x2,y2),则原点O在以线段AB为直径的圆内,等价于x1x2+y1y2<0,将直线与椭圆方程联立,利用韦达定理,可建立不等式,从而可求实数t的取值范围.
解答:解:(Ⅰ)依题意,可知m>1,且
(Ⅱ)设A(x1,y1),B(x2,y2),则原点O在以线段AB为直径的圆内,等价于
联立
且
于是
代入①式得,
又t>0,所以解得
点评:本题考查椭圆的标准方程,考查向量知识的运用,考查韦达定理,解题的关键是联立方程,运用韦达定理解题.
练习册系列答案
相关题目