题目内容
若{an}为等比数列,则下列数列中:为等比数列的有 .(1){pan}
(2){pan+q}
(3){nan}
(4){an2}
(5){an+an+1}(其中p,q为非零常数)
【答案】分析:根据已知中等比数列{an},我们可以判断五个选项中的数列中的后一项与前一项的比值是否为定值,进而得到答案.
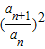
解答:解:(1)设cn=pan,则
=q,故(1)正确;
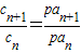
(2)设cn=pan+q,则
≠常数,故(2)错误;
(3)设cn=nan,则
,故(3)错误;
(4)设bn=an2,则
=
=q2,∴{an2}成等比数列,故(4)正确;
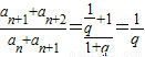
(5)设数列{an}的首项为a1,由题意知an=a1qn-1,an+1=a1qn,
an+an+1=a1qn-1+a1qn=a1qn(
+1
an+1+an+2=a1qn+a1qn+1=a1qn(1+q)
当q=-1时,数列{an+an+1}为an=0的一个常数列,是一个等差数列
当q≠-1时

当q≠±1时,
是一个不为1的常数,所以数列{an+an+1}是等比数列;
当q=1时,
=1,所以数列{an+an+1}是一个常数列,它既是等差数列,又是等比数列
故答案为:(1)(4)
点评:本题考查的知识点是等比数列的确定及等比数列的性质,其中根据等比数列的定义,判断
是否为定值,是解答本题的关键.
解答:解:(1)设cn=pan,则
(2)设cn=pan+q,则
(3)设cn=nan,则
(4)设bn=an2,则
(5)设数列{an}的首项为a1,由题意知an=a1qn-1,an+1=a1qn,
an+an+1=a1qn-1+a1qn=a1qn(
an+1+an+2=a1qn+a1qn+1=a1qn(1+q)
当q=-1时,数列{an+an+1}为an=0的一个常数列,是一个等差数列
当q≠-1时
当q≠±1时,
当q=1时,
故答案为:(1)(4)
点评:本题考查的知识点是等比数列的确定及等比数列的性质,其中根据等比数列的定义,判断
练习册系列答案
相关题目