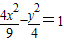
题目内容
与双曲线A.8
B.4
C.2
D.1
【答案】分析:先设双曲线方程为
,再将点
代入双曲线方程,解得λ,从而确定双曲线方程的焦点坐标、渐近线方程,故可利用点到直线距离公式求解.
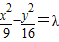
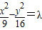
解答:解:∵与双曲线
有共同的渐近线,
∴设双曲线方程为
,
将点
代入双曲线方程,
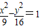
解得
,⇒
从而所求双曲线方程的焦点坐标为(
,0),一条渐近线方程为
,
所以焦点到一条渐近线的距离是
=2,
故选C.
点评:本题主要考查双曲线的标准方程及几何性质,关键是共渐近线双曲线方程的假设及点到直线距离公式的运用.
解答:解:∵与双曲线
∴设双曲线方程为
将点
解得
从而所求双曲线方程的焦点坐标为(
所以焦点到一条渐近线的距离是
故选C.
点评:本题主要考查双曲线的标准方程及几何性质,关键是共渐近线双曲线方程的假设及点到直线距离公式的运用.
练习册系列答案
相关题目