题目内容

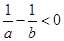
”是“”的(  )

A. 充分不必要条件                        B. 必要不充分条件

C. 充要条件                              D. 既不充分也不必要条件

 

【答案】

D

【解析】

试题分析:由可以得到,可以写为,此式子并不能推得,同样的道理也不能推得,所以“”是“”的既不充分也不必要条件.

考点:必要条件、充分条件与充要条件的判断.

 

练习册系列答案
相关题目

违法和不良信息举报电话:027-86699610 举报邮箱:58377363@163.com

精英家教网