题目内容
已知椭圆C的对称轴为坐标轴,一个焦点为F(0,-(Ⅰ)求椭圆C的方程;
(Ⅱ)已知直线l:2x-y-2=0与椭圆C交于A,B两点,求△MAB的面积.
【答案】分析:(Ⅰ)由椭圆的定义求出长轴长,利用条件b2=a2-c2求出b,则椭圆C的方程可求;
(Ⅱ)联立直线和椭圆方程,解出交点,由点到直线距离公式求出三角形的高,则△MAB的面积可求.
解答:解:(Ⅰ)∵
,
∴
,
∴a=2,b2=a2-c2=2,∴椭圆C的方程为
;
(Ⅱ)如图,

联立直线l与椭圆C的方程
.
解得
.
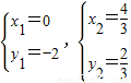
∴A(0,-2),B(
).
.
点M(1,
)到直线l的距离为
,
.
点评:本题考查阿勒椭圆的定义及简单几何性质,考查了直线与圆锥曲线的关系,训练了三角形面积的求法,是中档题.
(Ⅱ)联立直线和椭圆方程,解出交点,由点到直线距离公式求出三角形的高,则△MAB的面积可求.
解答:解:(Ⅰ)∵
∴
∴a=2,b2=a2-c2=2,∴椭圆C的方程为
(Ⅱ)如图,
联立直线l与椭圆C的方程
解得
∴A(0,-2),B(
点M(1,
点评:本题考查阿勒椭圆的定义及简单几何性质,考查了直线与圆锥曲线的关系,训练了三角形面积的求法,是中档题.
练习册系列答案
相关题目