题目内容
如图,△ABC中,AD=2DB,AE=3EC,CD与BE交于F,若A.x=
B.x=
C.x=
D.x=
【答案】分析:过点F作FM∥AC、FN∥AB,分别交AB、AC于点M、N.由平行线分线段成比例,结合AD=2DB且AE=3EC,证出AM=
且AN=
,最后由平面向量基本定理和向量的加法法则,即可算出x、y的值.
解答:解:
过点F作FM∥AC、FN∥AB,分别交AB、AC于点M、N
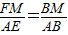
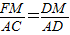
∵FM∥AC,∴
且
∵AD=2DB,AE=3EC,
∴AD=
AB,AE=
AC.由此可得AM=
同理可得AN=
∵四边形AMFN是平行四边形
∴由向量加法法则,得
=
+
∵
=x
+y
,
∴根据平面向量基本定理,可得x=
,y=
故选:A
点评:本题在三角形中给出边的三等分点和四等分点,求向量的线性表示式.着重考查了平行线的性质、向量的加法法则和平面向量基本定理及其应用等知识,属于中档题.
解答:解:
∵FM∥AC,∴
∵AD=2DB,AE=3EC,
∴AD=
同理可得AN=
∵四边形AMFN是平行四边形
∴由向量加法法则,得
∵
∴根据平面向量基本定理,可得x=
故选:A
点评:本题在三角形中给出边的三等分点和四等分点,求向量的线性表示式.着重考查了平行线的性质、向量的加法法则和平面向量基本定理及其应用等知识,属于中档题.
练习册系列答案
相关题目