题目内容
设函数f(x)=x3-3ax+b(a≠0),
(Ⅰ)若曲线y=f(x)在点(2,f(2))处与直线y=8相切,求a,b的值;
(Ⅱ)求函数f(x)的单调区间与极值点.
(Ⅰ)若曲线y=f(x)在点(2,f(2))处与直线y=8相切,求a,b的值;
(Ⅱ)求函数f(x)的单调区间与极值点.
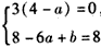
解:(I)f′(x)=3x2-3a,
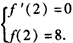
因为曲线y=f(x)在点(2,f(2))处与直线y=8相切,
所以
,即
,
解得a=4,b=24.
(Ⅱ)f′(x)=3(x2-a)(a≠0),
当a<0时,f′(x)>0,函数f(x)在(-∞,+∞)上单调递增,此时函数f(x)没有极值点;
当a>0时,由f′(x)=0,得x=±
,
当
时,f′(x)>0,函数f(x)单调递增;
当
时,f′(x)<0,函数f(x)单调递减;
当
时,f′(x)>0,函数f(x)单调递增,
此时x=-
是f(x)的极大值点,x=
是f(x)的极小值点。
因为曲线y=f(x)在点(2,f(2))处与直线y=8相切,
所以
解得a=4,b=24.
(Ⅱ)f′(x)=3(x2-a)(a≠0),
当a<0时,f′(x)>0,函数f(x)在(-∞,+∞)上单调递增,此时函数f(x)没有极值点;
当a>0时,由f′(x)=0,得x=±
当
当
当
此时x=-
练习册系列答案
相关题目
设函数f(x)=x3-(
)x-2,则其零点所在区间为( )
| 1 |
| 2 |
| A、(0,1) |
| B、(1,2) |
| C、(2,3) |
| D、(3,4) |