题目内容
设函数A.-2
B.-4
C.-8
D.不能确定
【答案】分析:此题考查的是二次函数的性质问题.在解答时可以先将问题转化为方程,因为一个方程可以求解一个未知数.至于方程的给出要充分利用好“构成一个正方形区域”的条件.
解答:解:由题意可知:所有点(s,f(t))(s,t∈D)构成一个正方形区域,
则对于函数f(x),其定义域的x的长度和值域的长度是相等的,
f(x)的定义域为ax2+bx+c≥0的解集,
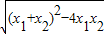
设x1、x2是方程ax2+bx+c=0的根,且x1<x2
则定义域的长度为|x1-x2|=
=
,
而f(x)的值域为[0,
],
则有
,
∴
,∴a=-4.
故选B.
点评:本题考查的是二次函数的性质问题.在解答的过程当中充分体现了问题转化的思想、解方程的思想以及运算的能力.值得同学们体会反思.
解答:解:由题意可知:所有点(s,f(t))(s,t∈D)构成一个正方形区域,
则对于函数f(x),其定义域的x的长度和值域的长度是相等的,
f(x)的定义域为ax2+bx+c≥0的解集,
设x1、x2是方程ax2+bx+c=0的根,且x1<x2
则定义域的长度为|x1-x2|=
而f(x)的值域为[0,
则有
∴
故选B.
点评:本题考查的是二次函数的性质问题.在解答的过程当中充分体现了问题转化的思想、解方程的思想以及运算的能力.值得同学们体会反思.
练习册系列答案
相关题目