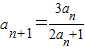
题目内容
已知数列{an}的首项(Ⅰ)求{an}的通项公式;
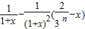
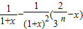
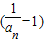
(Ⅱ)证明:对任意的x>0,
【答案】分析:(Ⅰ)由
,知
,故
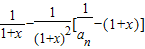
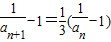
,由此能够求出{an}的通项公式.(Ⅱ)由
,知
=-
,由此能够证明对任意的x>0,
,n=1,2,…..
解答:(Ⅰ)解:∵
,
∴
,
∴
,
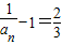
又
,
∴
是以
为首项,
为公比的等比数列.
∴
,
∴
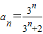
.
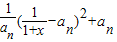
(Ⅱ)证明:由(Ⅰ)知
,

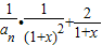
=
=
=-
=-
≤an,
∴对任意的x>0,
,n=1,2,….
点评:本题考查数列的递推公式的应用,具体涉及到数列的通项公式的求法和数列与不等式的应用.考查运算求解能力,推理论证能力;考查化归与转化思想.解题时要认真审题,仔细解答.
解答:(Ⅰ)解:∵
∴
∴
又
∴
∴
∴
(Ⅱ)证明:由(Ⅰ)知
=
=
=-
=-
≤an,
∴对任意的x>0,
点评:本题考查数列的递推公式的应用,具体涉及到数列的通项公式的求法和数列与不等式的应用.考查运算求解能力,推理论证能力;考查化归与转化思想.解题时要认真审题,仔细解答.
练习册系列答案
相关题目