题目内容
数列{an}是等比数列,a3=12,a4=18,则a2等于( )A.6
B.
C.8
D.
【答案】分析:利用等比中项的性质求值.
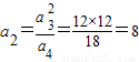
解答:解:在等比数列中,由
得
.
故选C.
点评:本题主要考查等比数列的性质以及等比中项的应用,比较基础.
解答:解:在等比数列中,由
故选C.
点评:本题主要考查等比数列的性质以及等比中项的应用,比较基础.
练习册系列答案
相关题目
题目内容
数列{an}是等比数列,a3=12,a4=18,则a2等于( )