题目内容
在椭圆
中,
分别是其左右焦点,若椭圆上存在一点P使得
,则该椭圆离心率的取值范围是( )
A.
B.
C.
D.![]()
【答案】
B
【解析】
试题分析:
,得
,
,即
,即
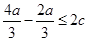
,即
,即
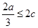
,∴
,即
.
考点:1.椭圆的定义;2.三角形两边之和大于第三边,两边之差小于第三边.
练习册系列答案
相关题目
设F1,F2分别是椭圆
+
=1(a>b>0)的左、右焦点,若在其右准线上存在P,使线段PF1的中垂线过点F2,则椭圆离心率的取值范围是( )
| x2 |
| a2 |
| y2 |
| b2 |
A、(0,
| ||||
B、(0,
| ||||
C、[
| ||||
D、[
|