题目内容
若框图所给程序运行的结果A.k<2010
B.k<2009
C.k>2010
D.k>2009
【答案】分析:框图在给累加变量和循环变量赋值后,先执行了一次运算,然后再判断执行,从执行框
看出,程序执行的是数列求和运算,根据程序运行的结果
,得到S的值,从而得到k的值,则判断框中的条件可求.
解答:解:由框图可知,程序执行的是求数列{
}的前n项和的运算,
由
=
=
,所以框图最后输出的S为
的形式,
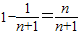
由程序运行的结果
,所以,S=
,所以k=2010,
所以判断框中的条件为k<2010时,程序继续执行一次k=2009+1=2010,
再次判断时不满足条件,算法结束.
故选A.
点评:本题考查了程序框图,考查了数列的求和,程序虽然先执行了一次运算,实则是循环结构中的当型循环,此题是中档题.
解答:解:由框图可知,程序执行的是求数列{
由
=
由程序运行的结果
所以判断框中的条件为k<2010时,程序继续执行一次k=2009+1=2010,
再次判断时不满足条件,算法结束.
故选A.
点评:本题考查了程序框图,考查了数列的求和,程序虽然先执行了一次运算,实则是循环结构中的当型循环,此题是中档题.
练习册系列答案
相关题目