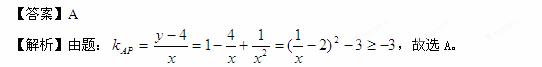
题目内容
已知点为曲线上任一点,点,则直线的斜率的取值范围是( )
A. B. C. D.
(本小题满分14分) 已知在单位圆x²+y²=1上任取一点M,作MN⊥x轴,垂足为N, = 2.(Ⅰ)求动点Q的轨迹的方程;(Ⅱ)设点,点为曲线上任一点,求点到点距离的最大值;(Ⅲ)在的条件下,设△的面积为(是坐标原点,是曲线上横坐标为的点),以为边长的正方形的面积为.若正数满足,问是否存在最小值,若存在,请求出此最小值,若不存在,请说明理由.
(本小题满分14分) 已知在单位圆x²+y²=1上任取一点M,作MN⊥x轴,垂足为N, = 2.
(Ⅰ)求动点Q的轨迹的方程;
(Ⅱ)设点,点为曲线上任一点,求点到点距离的最大值;
(Ⅲ)在的条件下,设△的面积为(是坐标原点,是曲线上横坐标为的点),以为边长的正方形的面积为.若正数满足,问是否存在最小值,若存在,请求出此最小值,若不存在,请说明理由.
.(本小题满分12分)
已知点,一动圆过点且与圆内切,
(1)求动圆圆心的轨迹的方程;
(2)设点,点为曲线上任一点,求点到点距离的最大值;
(3)在的条件下,设△的面积为(是坐标原点,是曲线上横坐标为的点),以为边长的正方形的面积为.若正数满足,问是否存在最小值,若存在,请求出此最小值,若不存在,请说明理由.
(本小题满分13分)已知点,一动圆过点且与圆内切.
(Ⅰ)求动圆圆心的轨迹的方程;
(Ⅱ)设点,点为曲线上任一点,求点到点距离的最大值(用表示);