题目内容
已知函数f(x)=2cosxcos(x-
)-
sin2x+sinxcosx。
(Ⅰ)求f(x)的最小正周期;
(Ⅱ)把f(x)的图像向右平移m个单位后,在
是增函数,当|m|最小时,求m的值。
(Ⅰ)求f(x)的最小正周期;
(Ⅱ)把f(x)的图像向右平移m个单位后,在
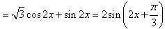
解:(Ⅰ)


,
∴
;
(Ⅱ)
,
单调递增区间为
,
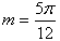
周期为π,则
,
当|m|最小时,
。
∴
(Ⅱ)
单调递增区间为
周期为π,则
当|m|最小时,
练习册系列答案
相关题目