题目内容
设数列{an},{bn}满足:
,
(Ⅰ)用an表示an+1;并证明:
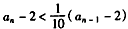
n∈N*,an>2;
(Ⅱ)证明:
是等比数列;
(Ⅲ)设Sn是数列{an}的前n项和,当n≥2时,Sn与2(n+
)是否有确定的大小关系?若有,加以证明;若没有,请说明理由。
(Ⅰ)用an表示an+1;并证明:
(Ⅱ)证明:
(Ⅲ)设Sn是数列{an}的前n项和,当n≥2时,Sn与2(n+
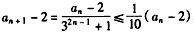
解:(Ⅰ)由已知,得
,
所以,
,
故
,
由已知
,
∴
,
由基本不等式,得
,
故
。
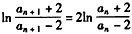
(Ⅱ)
,
,
所以,
,
所以,
是等比数列。
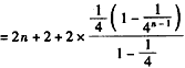
(Ⅲ)由(Ⅱ)可知,
,
∴
,
当n≥2时,
,
∴
,
相加,得
,
∵
,
∴
,
∴
,
故n≥2时,
。
解法二:
,
设
,
,
∴当n≥2时,
,



。
所以,
故
由已知
∴
由基本不等式,得
故
(Ⅱ)
所以,
所以,
(Ⅲ)由(Ⅱ)可知,
∴
当n≥2时,
∴
相加,得
∵
∴
∴
故n≥2时,
解法二:
设
∴当n≥2时,
练习册系列答案
相关题目