题目内容
函数A.
B.
C.
D.
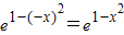
【答案】分析:先判断函数的奇偶性,f(-x)=
=f(x),由指数函数的性质可知f(x)>0恒成立,结合选项可判断
解答:解:∵
∴f(-x)=
=f(x)
∴函数f(x)为偶函数
由指数函数的性质可知f(x)>0恒成立
结合选项可知C正确
故选C
点评:本题主要考查了奇偶函数的图象特征及指数函数的性质的应用,解题的关键是灵活利用函数的性质
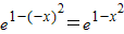
解答:解:∵
∴f(-x)=
∴函数f(x)为偶函数
由指数函数的性质可知f(x)>0恒成立
结合选项可知C正确
故选C
点评:本题主要考查了奇偶函数的图象特征及指数函数的性质的应用,解题的关键是灵活利用函数的性质
练习册系列答案
相关题目