搜索
题目内容
在△ABC中,若∠B=30°,AB=2
,AC=2,求△ABC的面积。
试题答案
相关练习册答案
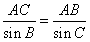
解:由
,
∴
,
∴C=60°或120°,
当C=60°时,A=90°,S
△ABC
=
;
当C=120°时,A=30°,S
△ABC
=
AB·ACsinA
。
练习册系列答案
寒假作业时代出版传媒股份有限公司系列答案
寒假作业华中科技大学出版社系列答案
复习计划100分寒假学期复习系列答案
寒假作业江西高校出版社系列答案
寒假作业欢乐共享快乐假期系列答案
寒假作业及活动系列答案
寒假作业浙江教育出版社系列答案
寒假作业延边教育出版社系列答案
寒假作业团结出版社系列答案
寒假作业江西人民出版社系列答案
相关题目
在△ABC中,若b=5,
C=
π
4
,
a=2
2
,则sinA=( )
A.
4
5
B.
2
5
C.
2
13
13
D.
3
13
13
在△ABC中,若∠B=135°,
AC=
2
,则三角形外接圆的半径是( )
A.1
B.
2
2
C.
2
D.2
在△ABC中,若B=2A,
a:b=1:
3
,则A=
.
在△ABC中,若B、C的对边边长分别为b、c,B=45°,c=2
2
,b=
4
3
3
,则C等于( )
A.30°
B.60°
C.120°
D.60°或120°
在△ABC中,若b=12,A=30°,B=120°,则a=( )
A.2
B.2
3
C.4
D.4
3
关 闭
试题分类
高中
数学
英语
物理
化学
生物
地理
初中
数学
英语
物理
化学
生物
地理
小学
数学
英语
其他
阅读理解答案
已回答习题
未回答习题
题目汇总
试卷汇总
练习册解析答案