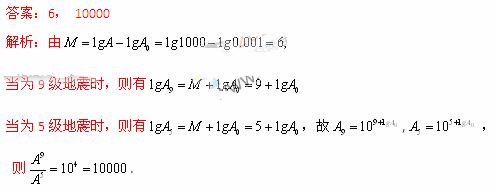
题目内容
里氏震级M的计算公式为:
,其中A是测震仪记录的地震曲线的最大振幅,
是相应的标准地震的振幅。假设在一次地震中,测震仪记录的最大振幅是1000,此时标准地震的振幅为0.001,则此次地震的震级为 级;9级地震的最大振幅是5级地震最大振幅的 倍。
练习册系列答案
相关题目
题目内容
里氏震级M的计算公式为:
,其中A是测震仪记录的地震曲线的最大振幅,
是相应的标准地震的振幅。假设在一次地震中,测震仪记录的最大振幅是1000,此时标准地震的振幅为0.001,则此次地震的震级为 级;9级地震的最大振幅是5级地震最大振幅的 倍。