题目内容
设函数f(x)=x3+ax2+bx+c在x=1处取得极值-2,试用c表示a和b,并求f(x)的单调区间.
【答案】分析:根据题意,先求导,由函数f(x)=x3+ax2+bx+c在x=1处取得极值-2,的f′(1)=0,f(1)=-2,可得用c表示a和b;令导数f′(x)=0,比较根的大小,确定函数f(x)的单调区间.
解答:解:依题意有f(1)=-2,f′(1)=0,而f′(1)=3x2+2ax+b,
故
解得
从而f′(x)=3x2+2cx-(2c+3)=(3x+2c+3)(x-1).
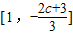
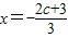
令f′(x)=0,得x=1或
.
由于f(x)在x=1处取得极值,故
,即c≠-3.
若
,即c<-3,
则当
时,f′(x)>0;
当
时,f′(x)<0;
当x∈(1,+∞)时,f′(x)>0;
从而f(x)的单调增区间为
;单调减区间为
若
,即c<-3,
同上可得,f(x)的单调增区间为
;单调减区间为
点评:考查利用导数研究函数的单调性和极值,即函数在某点取得极值的条件,体现方程的思想,特别讨论函数的单调性,比较两根的大小,体现了分类讨论的思想方法,属难题.
解答:解:依题意有f(1)=-2,f′(1)=0,而f′(1)=3x2+2ax+b,
故
从而f′(x)=3x2+2cx-(2c+3)=(3x+2c+3)(x-1).
令f′(x)=0,得x=1或
由于f(x)在x=1处取得极值,故
若
则当
当
当x∈(1,+∞)时,f′(x)>0;
从而f(x)的单调增区间为
若
同上可得,f(x)的单调增区间为
点评:考查利用导数研究函数的单调性和极值,即函数在某点取得极值的条件,体现方程的思想,特别讨论函数的单调性,比较两根的大小,体现了分类讨论的思想方法,属难题.
练习册系列答案
相关题目