题目内容

已知函数

(1)若的极值点,求实数的值;

(2)若上为增函数,求实数的取值范围;

(3)当时,方程有实根,求实数的最大值。

(2)因为在区间上为增函数,

    所以在区间上恒成立.

    ①当时,上恒成立,所以上为增函数,故符合题意.

②当时,由函数的定义域可知,必须有恒成立,故只能

所以恒成立.   

,其对称轴为,        

(3)若时,方程可化为,

    问题转化为上有解,

    即求函数的值域.          

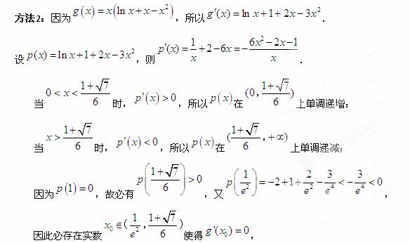
以下给出两种求函数值域的方法:

方法1:因为,令

    则                    ,           

    所以当,从而上为增函数,

,从而上为减函数,           

    因此

    而,故

    因此当时,取得最大值0.               ,所以上单调递减;

      当,所以上单调递增;

      当上单调递减;

    又因为

    当,则,又

    因此当时,取得最大值0.

练习册系列答案
相关题目

违法和不良信息举报电话:027-86699610 举报邮箱:58377363@163.com

精英家教网