题目内容
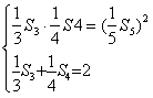
设Sn是等差数列{an}的前n项和,已知
与
的等差中项为1,求数列{an}的通项公式.
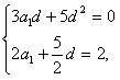
解:由已知得
,即
,
解得
或
,
∴an=1或
,
经验证an=1或
均满足题意,即为所求。
解得
∴an=1或
经验证an=1或
练习册系列答案
相关题目
设Sn是等差数列{an}的前n项和,S3=3(a2+a8),则
的值为( )
| a3 |
| a5 |
A、
| ||
B、
| ||
C、
| ||
D、
|