题目内容
函数
(A>0,
>0)的最小值为-1,其图象相邻两个对称中心之间的距离为
.
(1)求函数
的解析式
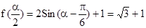
(2)设
,则
,求
的值.
【答案】
(1)
;(2)
或
.
【解析】
试题分析:(1)根据函数的最小值可以求出A的值;三角函数两对称中心间的距离是半个周期,求出周期便可求出
,从而求出函数的解析式.
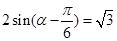
(2)由
得
,注意这是一个特殊角的三角函数值.再根据角的范围可得
或
,由此得
或
.
试题解析:(1)∵函数f(x)最小值为-1∴1-A=-1 即A=2
∵函数图象的相邻对称中心之间的距离为
∴T=
即![]()
故函数f(x)的解析式为![]()
(2)∵![]()
∴
即![]()
则
或
, ∴
或![]()
即所求
或![]()
考点:1、三角函数的图象;2、三角恒等变换.
练习册系列答案
相关题目
若函数f(x)=sinax+cosax(a>0)的最小正周期为1,则它的图象的一个对称中心为( )
A、(-
| ||
| B、(0,0) | ||
C、(-
| ||
D、(
|