题目内容
已知函数
。
(Ⅰ)求不等式
的解集;
(Ⅱ)若关于x的不等式
恒成立,求实数a的取值范围。
(Ⅱ)若关于x的不等式
解:(I )原不等式等价于
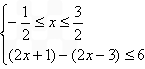
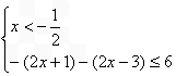
或
或
解得
或
或
即不等式的解集为
(II)∵
∴
。
或
解得
即不等式的解集为
(II)∵
∴
练习册系列答案
相关题目
| π |
| 2 |
A、f(x)=2sin(
| ||||
B、f(x)=2sin(
| ||||
C、f(x)=2sin(2x-
| ||||
D、f(x)=2sin(2x+
|