题目内容
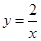
由直线
及曲线
围成的封闭图形的面积为 ( )
A.
B.
C.
D.![]()
D
练习册系列答案
相关题目
题目内容
由直线
及曲线
围成的封闭图形的面积为 ( )
A.
B.
C.
D.![]()
D