题目内容
曲线
与直线
及
所围成的封闭图形的面积为( )
A.
B.
C.
D.![]()
【答案】
D
【解析】
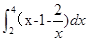
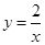
试题分析:在同一直角坐标系中,作出
,
和
的图像,如图所示,则阴影部分面积为S=
=
.
![]()
考点:定积分的几何意义.
练习册系列答案
相关题目
题目内容
曲线
与直线
及
所围成的封闭图形的面积为( )
A.
B.
C.
D.![]()
D
【解析】
试题分析:在同一直角坐标系中,作出
,
和
的图像,如图所示,则阴影部分面积为S=
=
.
![]()
考点:定积分的几何意义.