题目内容
已知数列{an}的首项a1=4,且(1)求数列{an}和{bn}的通项公式;
(2)设
【答案】分析:(1)由已知中
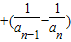
,利用裂项相消法可得
=
,结合a1=4,可得数列{an}的通项公式,由数列{bn}的前n项和Sn=2-bn,根据n≥2时,Sn-1=2-bn-1,易得数列为等比数列,求出首项后,可得数列{bn}的通项公式
(2)由(1)中数列{an}和{bn}的通项公式;求出数列{Cn}的通项公式,作差Cn+1-Cn并化简,易得当n<3时,Cn+1-Cn>0,当n≥3时,Cn+1-Cn<0,综合讨论结果,可得答案.
解答:解:(1)∵
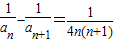
=
=
∴
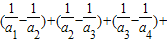
…
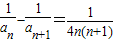
=
…
=

即
=

又∵a1=4,
∴an=4n,
∵数列{bn}的前n项和Sn=2-bn…①
当n≥2时,Sn-1=2-bn-1…②
①-②得bn=bn-1-bn,
即
=
又∵n=1时,S1=2-b1=b1,
∴b1=1
故数列{bn}是一个以1为首项,以
为公比的等比数列
故bn=21-n
证明:(2)∵
=n225-n
∴Cn+1-Cn=(n+1)224-n-n225-n=24-n[-(n-1)2+2]
当n<3时,Cn+1-Cn>0
当n≥3时,Cn+1-Cn<0
即当且仅当n≥3时,cn+1<cn.
点评:本题考查的知识点是数列与不等式的综合,数列的递推式,(1)的关键是熟练掌握求数列通项公式的方法,(2)的关键是作差Cn+1-Cn并化简.
(2)由(1)中数列{an}和{bn}的通项公式;求出数列{Cn}的通项公式,作差Cn+1-Cn并化简,易得当n<3时,Cn+1-Cn>0,当n≥3时,Cn+1-Cn<0,综合讨论结果,可得答案.
解答:解:(1)∵
∴
即
又∵a1=4,
∴an=4n,
∵数列{bn}的前n项和Sn=2-bn…①
当n≥2时,Sn-1=2-bn-1…②
①-②得bn=bn-1-bn,
即
又∵n=1时,S1=2-b1=b1,
∴b1=1
故数列{bn}是一个以1为首项,以
故bn=21-n
证明:(2)∵
∴Cn+1-Cn=(n+1)224-n-n225-n=24-n[-(n-1)2+2]
当n<3时,Cn+1-Cn>0
当n≥3时,Cn+1-Cn<0
即当且仅当n≥3时,cn+1<cn.
点评:本题考查的知识点是数列与不等式的综合,数列的递推式,(1)的关键是熟练掌握求数列通项公式的方法,(2)的关键是作差Cn+1-Cn并化简.
练习册系列答案
相关题目