题目内容
已知函数f(x)=x2-2ax-3a2.(1)若a=1,求函数f(x)的值域;
(2)当x∈[1,4]时,求f(x)的最小值;
(3)是否存在实数a,对于任意x∈[1,4],f(x)≥-4a恒成立?若存在,求实数a的取值范围;若不存在,说明理由.
【答案】分析:(1)把二次函数f(x)的解析式配方,利用配方法求函数的值域.
(2)配方,确定函数的对称轴,根据区间[1,4],分类讨论,可求函数f(x)最小值;
(3)对于任意x∈[1,4],f(x)≥-4a恒成立,等价于对于任意x∈[1,4],f(x)min≥-4a恒成立,故可求实数a的取值范围.
解答:解:(1)∵a=1,∴函数f(x)=x2-2ax-3a2=x2-2x-3=(x-1)2-4≥-4,
∴函数的值域为[-4,+∞).
(2)函数f(x)=x2-2ax-3a2=(x-a)2-4a2,对称轴为x=a.
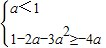
当a<1时,在区间[1,4]上函数单调递增,∴函数f(x)最小值为f(1)=1-2a-3a2;
当1≤a≤4时,函数f(x)在[1,a]上单调递减,在[a,4]上单调递增,∴函数f(x)最小值为f(a)=-4a2;
当a>4时,在区间[1,4]上函数单调递减,∴函数f(x)最小值为f(4)=16-8a-3a2;
(3)对于任意x∈[1,4],f(x)≥-4a恒成立,等价于对于任意x∈[1,4],f(x)min≥-4a恒成立
由(2)知,
或
或
∴
或a=1
∴
.
点评:本题考查求二次函数在闭区间上的值域,函数的恒成立问题,考查分类讨论的数学思想,属于中档题.
(2)配方,确定函数的对称轴,根据区间[1,4],分类讨论,可求函数f(x)最小值;
(3)对于任意x∈[1,4],f(x)≥-4a恒成立,等价于对于任意x∈[1,4],f(x)min≥-4a恒成立,故可求实数a的取值范围.
解答:解:(1)∵a=1,∴函数f(x)=x2-2ax-3a2=x2-2x-3=(x-1)2-4≥-4,
∴函数的值域为[-4,+∞).
(2)函数f(x)=x2-2ax-3a2=(x-a)2-4a2,对称轴为x=a.
当a<1时,在区间[1,4]上函数单调递增,∴函数f(x)最小值为f(1)=1-2a-3a2;
当1≤a≤4时,函数f(x)在[1,a]上单调递减,在[a,4]上单调递增,∴函数f(x)最小值为f(a)=-4a2;
当a>4时,在区间[1,4]上函数单调递减,∴函数f(x)最小值为f(4)=16-8a-3a2;
(3)对于任意x∈[1,4],f(x)≥-4a恒成立,等价于对于任意x∈[1,4],f(x)min≥-4a恒成立
由(2)知,
∴
∴
点评:本题考查求二次函数在闭区间上的值域,函数的恒成立问题,考查分类讨论的数学思想,属于中档题.
练习册系列答案
相关题目
| π |
| 2 |
A、f(x)=2sin(πx+
| ||
B、f(x)=2sin(2πx+
| ||
C、f(x)=2sin(πx+
| ||
D、f(x)=2sin(2πx+
|